二叉树的深度
约 366 字大约 1 分钟
题目:
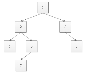
输入一棵二叉树的根结点,求该树的深度。从根结点到叶结点依次经过的结点(含根、叶结点)形成树的一条路径,最长路径的长度为树的深度。例如下图中的二叉树的深度为4,因为它从根结点到叶结点最长的路径包含4个结点(从根结点1开始,经过结点2和结点5,最终到达叶结点7)
分析:
如果一棵树只有一个结点,它的深度为1。
如果根结点只有左子树而没有右子树,那么树的深度应该是其左子树的深度加1;同样如果根结点只有右子树而没有左子树,那么树的深度应该是其右子树的深度加1。
如果既有右子树又有左子树,那该树的深度就是其左、右子树深度的较大值再加1。
代码:
class DeepSolution {
public static int getTreeDepth(BinaryTreeNode pRoot) {
if (null == pRoot) {
return 0;
}
int left = getTreeDepth(pRoot.left);
int right = getTreeDepth(pRoot.right);
return left > right ? left + 1 : right + 1;
}
public static void main(String[] args) {
BinaryTreeNode node1 = new BinaryTreeNode(1);
BinaryTreeNode node2 = new BinaryTreeNode(2);
BinaryTreeNode node3 = new BinaryTreeNode(3);
BinaryTreeNode node4 = new BinaryTreeNode(4);
BinaryTreeNode node5 = new BinaryTreeNode(5);
BinaryTreeNode node6 = new BinaryTreeNode(6);
BinaryTreeNode node7 = new BinaryTreeNode(7);
node1.left = node2;
node1.right = node3;
node2.left = node4;
node2.right = node5;
node3.right = node6;
node5.left = node7;
System.out.println(getTreeDepth(node1));
}
}
