二叉搜索树与双向链表
约 901 字大约 3 分钟
题目:
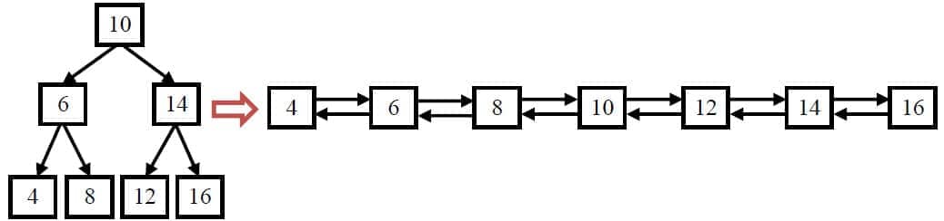
输入入一棵二叉搜索树,将该二叉搜索树转换成一个排序的双向链表。要求不能创建任何新的结点,只能调整树中结点指针的指向。比如输入下图中左边的二叉搜索树,则输出转换之后的排序双向链表。
二叉树节点的定义如下:
public class BinaryTreeNode { public int value; public BinaryTreeNode left; public BinaryTreeNode right; }
分析:
在二叉树中,每个节点都有两个指向子节点的指针。在双向链表中,每个节点也有两个指针,分别指向前一个节点和后一个节点。这两种结构相似。在搜索二叉树中,左节点的值总是小于根节点,右节点的值总是大于根节点,因此再将二叉搜索树转成双向链表的过程中,原先指向左节点的指针调整为指向前一个节点,原先指向右节点的指针调整为指向后一个一个结点。
由于要求转换之后的链表是排好序的,我们可以使用中序遍历来遍历二叉树,因为中序遍历是按照从小到大的顺序遍历每个节点。当遍历到根节点的时候,我们把树看成 3 部分:值为10的节点,根节点为 6 的左子树,根节点为 14 的右子树。

最后,按照中序遍历的顺序,当我们遍历转换到根结点(值为10的结点)时,它的左子树已经转换成一个排序的链表了,并且处在链表中的最后一个结点是当前值最大的结点。我们把值为8的结点和根结点链接起来,此时链表中的最后一个结点就是10了。接着我们去遍历转换右子树,并把根结点和右子树中最小的结点链接起来。
很明显,转换它的左子树和右子树,由于遍历和转换过程是一样的,很自然地想到可以用递归。
代码:
public class ConvertBinaryTreeToLinkedList {
public static BinaryTreeNode convert(BinaryTreeNode pRoot) {
BinaryTreeNode lastNode = null;
convertNode(pRoot, lastNode);
BinaryTreeNode headOfList = lastNode;
while (headOfList != null && headOfList.left != null) {
headOfList = headOfList.left;
}
return headOfList;
}
private static void convertNode(BinaryTreeNode pNode, BinaryTreeNode lastNodeInList) {
if (pNode == null) {
return;
}
BinaryTreeNode currentNode = pNode;
if (currentNode.left != null) {
convertNode(currentNode.left, lastNodeInList);
}
currentNode.left = lastNodeInList;
if (lastNodeInList != null) {
lastNodeInList.right = currentNode;
}
lastNodeInList = currentNode;
if (currentNode.right != null) {
convertNode(currentNode.right, lastNodeInList);
}
}
}
上面代码是 剑指offer 中写法,剑指offer 使用C++,传递的 lastNodeInList 是一个指针,但是java中对象地址无法传递给递归调用方,所以这种方法在java中不合适
下面这个是参照网上写法
https://blog.csdn.net/Bryan__/article/details/52081877
public class Solution {
private BinaryTreeNode head=null;
private BinaryTreeNode tail=null;
public BinaryTreeNode Convert(BinaryTreeNode pRootOfTree) {
visit(pRootOfTree);
return head;
}
// 中序遍历
public void visit(BinaryTreeNode root) {
if (root == null) {
return;
}
visit(root.left);
createList(root);
visit(root.right);
}
public void createList(BinaryTreeNode cur){
cur.left=tail;//把当前的节点接到链表的尾部
if(tail!=null){//双向连接
tail.right=cur;
}else{
head=cur;
}
tail=cur;//更新尾结点为当前结点,或者说:尾结点后移
}
}
测试:
public class TestConvertBinaryTreeToList {
BinaryTreeNode root1 = new BinaryTreeNode(10);
@Before
public void before() {
BinaryTreeNode nodeA21 = new BinaryTreeNode(6);
BinaryTreeNode nodeA22 = new BinaryTreeNode(14);
BinaryTreeNode nodeA31 = new BinaryTreeNode(4);
BinaryTreeNode nodeA32 = new BinaryTreeNode(8);
BinaryTreeNode nodeA33 = new BinaryTreeNode(12);
BinaryTreeNode nodeA34 = new BinaryTreeNode(16);
buildTree(root1, nodeA21, nodeA22);
buildTree(nodeA21, nodeA31, nodeA32);
buildTree(nodeA22, nodeA33, nodeA34);
}
private void buildTree(BinaryTreeNode root, BinaryTreeNode left, BinaryTreeNode right) {
root.left = left;
root.right =right;
}
@Test
public void test() {
// BinaryTreeNode convert = ConvertBinaryTreeToLinkedList.convert(root1);
// System.out.println(JSON.toJSONString(convert));
Solution solution = new Solution();
BinaryTreeNode convert = solution.Convert(root1);
System.out.println(JSON.toJSONString(convert));
}
}
