从上到下打印二叉树
从上到下打印二叉树
题目一:不分行从上到下打印二叉树
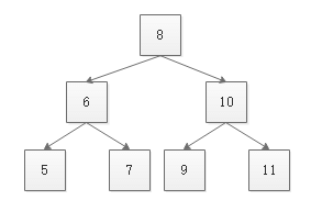
从上到下打印二叉树的每个节点,同一层的节点按照从左到右的顺序打印。例如,图中二叉树,则依此打印出 {8, 6, 10, 5, 7, 9, 11} 。二叉树的节点定义如下:
public class BinaryTreeNode { public int value; public BinaryTreeNode left; public BinaryTreeNode right; }
分析:
题目实际上就是二叉树的层序遍历,如上图,我们借助队列来存储节点来实现层序遍历的效果,具体操作:
- 先将根节点入队列
- 将根节点出队列,打印;然后将其左右子树依次入队列(若其存在)
- 重复步骤2,直到将树遍历完为止。
上面步骤最核心的就是步骤2,步骤2为什么能够实现层序的效果呢?当该节点出栈的时候,才会将下一层的节点(其左右子树)入栈,这样就保证了一层一层的打印效果;由于左子树一直在右子树前面进行操作,所以,不会乱序,可以实现从左往右的效果。
| 步骤 | 操作 | 队列 |
|---|---|---|
| 1 | 打印节点8 | 节点6、节点10 |
| 2 | 打印节点6 | 节点10、节点5、节点7 |
| 3 | 打印节点10 | 节点5、节点7、节点9、节点11 |
| 4 | 打印节点5 | 节点7、节点9、节点11 |
| 5 | 打印节点7 | 节点9、节点11 |
| 6 | 打印节点9 | 节点11 |
| 7 | 打印节点11 |
代码:
public static void printNoLine(BinaryTreeNode pRoot) {
if (null == pRoot) {
return;
}
Queue<BinaryTreeNode> queue = new LinkedList<>();
List<Integer> list = new ArrayList<>();
// 先将根节点入队
queue.offer(pRoot);
// 一直遍历队列中所有元素
while (!queue.isEmpty()) {
// 出队
BinaryTreeNode tempNode = queue.poll();
list.add(tempNode.value);
// 左子节点入队
if (tempNode.left != null) {
queue.offer(tempNode.left);
}
// 右子节点入队
if (tempNode.right != null) {
queue.offer(tempNode.right);
}
}
System.out.println(JSON.toJSONString(list));
}
题目二:分行从上到下打印二叉树
从上到下按层打印二叉树,同一层的节点按从左到右的顺序打印,每一层打印一行。下图中二叉树打印结果为 右边方框中内容
分析:
这道题和上面的题目类似,但是需要每层换行。所以需要两个变量,一个变量表示当前层还没有打印的节点数,另一个变量表示下一层的节点数目。
代码:
public static void printWithLine(BinaryTreeNode pRoot) {
if (null == pRoot) {
return;
}
// 本层剩余节点数
int curRemain = 1;
// 下一层节点数
int nextLevel = 0;
Queue<BinaryTreeNode> queue = new LinkedList<>();
// 根节点入队
queue.offer(pRoot);
while (!queue.isEmpty()) {
// 出队
BinaryTreeNode tempNode = queue.poll();
System.out.print(tempNode.value + " ");
// 本层节点数递减
curRemain--;
// 左子节点入队,下一层节点数增加
if (tempNode.left != null) {
queue.offer(tempNode.left);
nextLevel++;
}
// 右子节点入队,下一层节点数增加
if (tempNode.right != null) {
queue.offer(tempNode.right);
nextLevel++;
}
// 如果本层节点数为0,说明已遍历完,换行,改为下层节点数
if (curRemain == 0) {
System.out.println();
curRemain = nextLevel;
nextLevel = 0;
}
}
}
题目三:之字形打印二叉树
请实现一个函数按照之字形顺序打印二叉树,即第一行按照从左到右的顺序打印,第二层按照从右到左的顺序打印,第三行再按照从左到右的顺序打印,其他行以此类推。例如,下图中的二叉树按照之字形打印结果为
分析:
二叉树的根节点(节点1)打印之后,它的左子节点(节点2)和右子节点(节点3)先后保存到一个容器里面。但是打印第二层的节点时先打印节点3,再打印节点2,所以是先进后出,可以用栈类实现。
接着打印第二层的两个节点。根据之字形顺序,先打印节点3,在打印节点2,并把它们的子节点保存起来。打印第三层的时候,先打印2的子节点,再打印3的子节点,所以也可以用栈来保存。
依次类推,可以总结出规律,按之字形打印二叉树需要两个栈。在打印某一层节点时,把下一层子节点保存到相应的栈里。如果当前是奇数层,则先保存左子节点再保存右子节点到第一个栈里;如果当前是偶数层,则先保存右子节点再保存左子节点到第二个栈里。
为什么需要两个栈?如果只有一个栈,打印根节点的时候,把 {2, 3} 保存到栈里。接下来打印节点3,把 {7, 6} 保存到栈里,这时栈里的数据为 {7, 6, 2},接下来打印 7,无法打印2。
| 步骤 | 操作 | stack1中节点 | stack2中节点 |
|---|---|---|---|
| 1 | 打印节点1 | 2, 3 | |
| 2 | 打印节点3 | 2 | 7, 6 |
| 3 | 打印节点2 | 7, 6, 5, 4 | |
| 4 | 打印节点4 | 8, 9 | 7, 6, 5 |
| 5 | 打印节点5 | 8, 9, 10, 11 | 7, 6 |
| 6 | 打印节点6 | 8, 9, 10, 11,12 ,13 | 7 |
| 7 | 打印节点7 | 8, 9, 10, 11,12 ,13, 14, 15 |
代码:
public static void printWithZStyle(BinaryTreeNode pRoot) {
if (null == pRoot) {
return;
}
// 定义两个栈
Stack<BinaryTreeNode> stack1 = new Stack<>();
Stack<BinaryTreeNode> stack2 = new Stack<>();
// 将两个栈保存到集合中
List<Stack<BinaryTreeNode>> stackList = Arrays.asList(stack1, stack2);
// 当前层
int current = 0;
// 下一层
int next = 1;
// 把根节点入栈(这里入的哪个栈,哪个就是第一层)
stackList.get(current).push(pRoot);
// 只要有一个栈有数据就继续执行
while (!stackList.get(current).empty() || !stackList.get(next).empty()) {
Stack<BinaryTreeNode> currentStack = stackList.get(current);
Stack<BinaryTreeNode> nextStack = stackList.get(next);
BinaryTreeNode tempNode = currentStack.pop();
System.out.print(tempNode.value + " ");
// 先进后出,
if (current == 0) {
if (tempNode.left != null) {
nextStack.push(tempNode.left);
}
if (tempNode.right != null) {
nextStack.push(tempNode.right);
}
}else{
if (tempNode.right != null) {
nextStack.push(tempNode.right);
}
if (tempNode.left != null) {
nextStack.push(tempNode.left);
}
}
// 当前栈遍历完成,交换两个栈
if (currentStack.empty()) {
System.out.println();
current = 1 - current;
next = 1- next;
}
}
}


